Scegliere il titolo di questa ‘pillola’ è stato più difficile che scriverne il contenuto, il quale per essere davvero pertinente dovrebbe esser lungo almeno un paio di libri e non le poche paginette di questo articolo, che si limita a descrivere gli aspetti base ma profondi che accomunano i due sistemi.
L’occhio umano è una macchina meravigliosa, un concentrato di soluzioni perfette per inviare al cervello precise informazioni ottiche di ciò che gli sta di fronte. Con l’avvento dell’era tecnologica, il desiderio di stampare su carta o di salvare su file una memoria delle immagini viste dall’occhio si è concretizzato con la macchina fotografica, che in prima approssimazione può essere considerata un occhio elettromeccanico.
Per capirne di più ci si deve affacciare sul mondo dell’ottica e andare a scomodare il concetto di rifrazione, un fenomeno che avviene quando un raggio di luce passa attraverso mezzi di densità diversa. La rifrazione è osservabile molto spesso nella vita quotidiana, ad esempio se immergiamo un lapis in un bicchiere d’acqua come in Figura 1. La luce passa dal mezzo meno denso ‘aria’ al mezzo più denso ‘acqua’ e di conseguenza i raggi luminosi subiscono un cambiamento di direzione che sortisce l’effetto di mostrarci un oggetto spezzato:
Figura 1: effetto tangibile della rifrazione della luce quando passa da un mezzo meno denso (l’aria) ad uno più denso (l’acqua).
Lo stesso effetto si ha quando il mezzo più denso anziché essere acqua è vetro. Utilizzando questo materiale si possono costruire le lenti, allo scopo di convogliare tutti i raggi luminosi in un singolo punto che chiamiamo ‘fuoco’ oppure di fare l’opposto, sparpagliare ovunque i raggi provenienti da quel punto. Si possono ottenere i due effetti e tutti quelli ad essi intermedi semplicemente variando la forma geometrica del pezzo di vetro, ovvero della lente.
Molte sono le tipologie disponibili e molti i materiali con cui vengono costruite, ma qui è sufficiente riferirsi alla così detta ‘lente biconvessa’, che forma oltre al fuoco un’immagine capovolta dell’oggetto osservato. Quindi attenzione, ci sono 3 attori ben precisi: l’oggetto osservato, il fuoco, l’immagine.
Figura 2. La lente biconvessa crea oltre al punto di fuoco un’immagine capovolta dell’oggetto osservato.
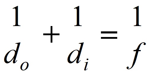
A seconda di come è costruita la lente, le distanze del punto di fuoco (f in Figura 2), dell’oggetto osservato (do) e della sua immagine (di) possono essere regolate finemente perché sono legate fra loro da una semplice equazione che, date due delle tre grandezze, fissa precisamente la terza. Si tratta della famosa equazione delle lenti sottili:

La distanza f del punto di fuoco viene normalmente chiamata ‘distanza focale’.
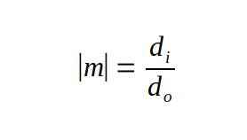
La precedente equazione ci permette di definire una ben nota grandezza chiamata ingrandimento, indicata con la lettera m (dall’inglese ‘magnification factor’) e il cui modulo altro non è che il rapporto fra le distanze dell’immagine e dell’oggetto osservato:

A questo punto occorre fare chiarezza sul punto di fuoco. Lì convogliano tutti i raggi luminosi provenienti dalla parte della lente dove si trova l’oggetto osservato e si fondono in quel singolo punto che appare super brillante. Chi ha conosciuto il Manuale delle Giovani Marmotte, ricorderà che ci insegnava come accendere un fuoco utilizzando una lente sotto il sole, un modo semplice e ingegnoso che ha sempre affascinato piccoli e grandi (Figura 3). Il metodo sfrutta il punto di fuoco f e il fatto che tutti i raggi del sole che colpiscono la lente vengono convogliati lì, sicché se tale punto viene posizionato su un mucchietto di paglia, il forte calore che si sviluppa è in grado di incendiarla:
Figura 3. Poche pagliuzze nel punto di fuoco di una lente biconvessa permettono alle “giovani marmotte” di accendere un fuoco.
Questo esempio è importante per capire che sia l’occhio, sia la macchina fotografica non possono e non devono utilizzare il punto di fuoco per creare immagini, altrimenti si danneggiano irrimediabilmente a causa della grande energia termica in quel punto.
Ma allora cosa significa “mettere a fuoco” un oggetto ?
Gli elementi fondamentali dell’occhio umano sono mostrati in Figura 4 (presa dal riferimento bibliografico [1] a cui si rimanda per una trattazione matematica completa). La luce colpisce l’occhio sulla cornea che è la parte esterna a contatto con la palpebra e che rappresenta una sorta di scudo trasparente. Attraversa poi l’umor acqueo, il cristallino e l’umor vitreo per andare a finire nella parte posteriore dove si trova la retina:

Figura 4. Elementi costitutivi principali dell’occhio umano.
La retina è un sensore ottico estremamente efficiente, in grado di trasformare la luce che la colpisce in un segnale elettrico inviato al cervello attraverso il nervo ottico. Riesce in questa operazione grazie a micro strutture chiamate coni e bastoncelli, di cui è completamente ricoperta nella parte prospiciente l’umor vitreo.
Quindi ciò che l’occhio vede è l’immagine che si trova sulla retina e che arriva lì grazie alla lente antistante, che è ‘adattativa’ ovvero a seconda delle necessità di visione cambia la propria forma geometrica e con essa, come abbiamo visto, i rapporti fra le distanze in gioco f, do e di.
Ad esempio, per osservare un oggetto lontano la lente deve avere bassa rifrazione e quindi deve essere quasi piatta. Viceversa, per osservare un oggetto vicino, la lente deve avere grande rifrazione e quindi essere più bombata. Grazie ai nostri muscoli ciliari, l’occhio applica una forza più o meno intensa al cristallino in modo da dargli la forma necessaria per mandare esattamente sulla retina l’immagine dell’oggetto osservato. Ecco perché nelle prime righe di questo articolo ho usato l’espressione “macchina meravigliosa” per definire l’occhio umano.
Abbiamo quindi capito cosa significa “mettere a fuoco” un oggetto: adattare la rifrazione della lente oculare in modo che l’immagine dell’oggetto osservato vada a finire con precisione sulla superficie del sensore ottico. Per inciso, in questo scenario il punto f si trova all’interno dell’occhio nella zona fra il cristallino e la retina, a conferma del fatto che i due concetti di “punto di fuoco” e “messa a fuoco” sono ben diversi e non vanno confusi.
Ovviamente l’occhio non brucia ma si può danneggiare se troppa luce penetra al suo interno, ad esempio se si guarda direttamente il sole senza vetri protettivi. Nei casi meno estremi, riesce ad adattarsi a differenti luminosità ambientali grazie alla pupilla, che si chiude o si dilata rispettivamente in condizioni di molta o poca luce, contribuendo sia a consentire di vedere, sia a proteggere per quanto possibile l’occhio da un’eccessiva energia luminosa.
Prima di arrivare a parlare dell’occhio elettro-meccanico costituito dalla macchina fotografica, non so rinunciare alla tentazione di citare due aspetti a corollario di quanto sopra:
1. non sempre l’occhio umano riesce a portare l’immagine sulla retina. Se si ferma prima di raggiungerla significa che il cristallino non riesce ad abbassare l’indice di rifrazione a sufficienza e questa condizione si chiama comunemente ‘miopia’ (Figura 5). Il caso opposto avviene se il cristallino viceversa rimane sempre troppo bombato, per cui l’immagine si forma oltre la retina e in questo caso si parla di ‘ipermetropia’.

Figura 5. A sinistra la candela (oggetto osservato) viene correttamente capovolta e posizionata sulla retina, garantendo una visione corretta. A destra il cristallino non è in grado di adattare il proprio indice di rifrazione e l’immagine si forma in un punto posizionato prima della retina.
2. per focalizzare oggetti vicini i muscoli ciliari devono essere tesi, in modo da contrarre il cristallino ed aumentarne l’indice di rifrazione. Più a lungo si osservano oggetti vicini, maggiormente sono sollecitati questi muscoli oculari. È questa la ragione per cui quando si legge continuamente per molto tempo, o si lavora davanti a uno schermo, o si ha a che fare con oggetti piccoli e vicini, alla fine l’occhio “si stanca”. Al contrario, quando si focalizzano oggetti più o meno distanti, come avviene nella maggior parte della giornata, i muscoli ciliari rimangono rilassati e non matura alcun senso di disagio agli occhi.
Terminata questa ghiotta divagazione, eccoci dunque alla macchina fotografica, un apparato che tenta di emulare l’occhio nel migliore dei modi. Ed in effetti il suo principio base di funzionamento è molto simile e anche in questo caso c’è la terna: oggetto da inquadrare, lente e immagine.
Ma non ci deve stupire se anche la più performante e moderna macchina fotografica ha prestazioni ben lontane da quelle dell’occhio umano, che d’altronde, se ci pensiamo bene, è il frutto di centinaia di migliaia di anni di evoluzione della specie umana. La differenza più eclatante è che l’occhio ha un intervallo di funzionamento migliore, riuscendo a mettere a fuoco con una singola lente oggetti vicini pochi centimetri o lontani come le stelle.
Il metodo con cui i due apparati mettono a fuoco un oggetto è però drasticamente diverso. Al contrario dell’occhio che, come si è detto, varia la forma della lente (il cristallino) adattandola alla necessità visiva, ma lasciandola in posizione fissa, la macchina fotografica produce l’immagine dell’oggetto spostando “una lente” (l’obiettivo) rispetto al proprio sensore ottico, senza variarne la forma:

Figura 6. L’immagine del fiore inizialmente fuori fuoco quando la lente è più a sinistra, viene ‘spostata’ fin sopra il fotosensore modificando la posizione della lente e portandola più a destra.
L’equivalente della retina un tempo era la pellicola fotografica ed oggi un fotosensore, ovvero un componente basato sul silicio o altri semiconduttori in grado di generare segnali elettrici quando viene colpito da segnali luminosi.
Fortunatamente, l’ottica geometrica ci viene in aiuto e ci permette di ottenere un’ottima messa a fuoco di oggetti vicini e lontani con spostamenti piccoli della lente, il che ha reso realizzabili in pratica gli obiettivi fotografici. Facilita ulteriormente l’opera il fatto che non di una singola lente si tratta, ma del ben noto ‘barilotto’ che costituisce il reale obiettivo, al cui interno sono posizionate molte lenti di diversa tipologia (non soltanto biconvesse).
Sorprendentemente, è sufficiente utilizzare l’equazione delle lenti sottili per calcolare cosa succede in una macchina fotografica. Ad esempio, una lente con una distanza focale f di 50 millimetri riesce a mettere a fuoco sul fotosensore un oggetto che si trova a 20 metri oppure a soli 3 metri di distanza, spostando la lente di appena 7 decimi di millimetro (il lettore motivato potrà cimentarsi nella verifica di quanto affermato e con gradevole stupore vedrà che è sufficiente utilizzare i valori dati e l’equazione delle lenti sottili).
Dunque ruotare l’obiettivo della macchina fotografica permette di mettere a fuoco il soggetto da fotografare perché causa lo spostamento della lente, analogamente a mettere in tensione i muscoli ciliari dell’occhio, che però non muovono il cristallino, bensì ne modificano la forma. Metodi diversi, stesso risultato: l’immagine perfettamente posizionata sul sensore ottico.
Esiste poi un’altra importante analogia: la pupilla oculare equivale all’otturatore della macchina fotografica. Entrambi servono per regolare la quantità di luce che raggiunge la lente. Ma mentre la pupilla ha una dilatazione continua, gli otturatori hanno un certo numero di posizioni fisse, che i fotografi chiamano ‘numero-f’ o più spesso ‘f-stop’ o semplicemente ‘stop’.
Attenzione, numero-f non va confuso con f: il primo è un indicatore di quanto è aperto l’otturatore, il secondo, come si è ampiamente visto, la coordinata del punto di fuoco (o ‘distanza focale’).
Detto D il diametro di apertura dell’otturatore, lo ‘f-stop’ è definito come:

Questi f-stop possono sembrare bizzarri, dal momento che hanno valori tipo 2.8, 4, 5.6, 7.1 e non, ad esempio, quelli di una semplice sequenza di numeri pari tipo 4, 6, 8, 10.
La ragione è che i passi di regolazione dell’otturatore sono scelti con una logica ben precisa: tra uno stop e il successivo, la quantità di luce che lo attraversa deve avere un rapporto costante, ad esempio 2 (quindi in questo caso ogni scatto in avanti di regolazione dell’otturatore fa entrare il doppio della luce precedente, ogni scatto indietro la metá).
Siccome la quantità di luce che passa è proporzionale all’area dell’apertura, che è π (D/2)2, ecco che per avere un rapporto 2:1 per la luce entrante, se un f-stop è ad esempio 1.4, il successivo deve essere 2, come visibile in Figura 7 a sinistra in alto.
La prima regola di un buon fotografo è conoscere bene la propria attrezzatura, soprattutto la propria macchina fotografica e quindi sapere esattamente quanto vale questa costante di amplificazione luminosa tra un f-stop e l’altro. Ad esempio, macchine prestanti (e costose) hanno una maggior discretizzazione, ovvero rapporti inferiori a 2 ed f-stop più numerosi. Questo consente una più fine regolazione della quantità di luce entrante ad ogni stop che, sapientemente dosata e combinata con i tempi di esposizione del fotosensore a quella luce, permette di ottenere scatti perfetti.
Nella seguente Figura 7 ho calcolato il rapporto di quantità di luce a parità di f=1, usando per semplicità numeri adimensionali visto che lo scopo dei conti è appunto la verifica di un rapporto-luce per due diverse sequenze di f-stop tipiche rispettivamente di macchine fotografiche con minore e maggiore risoluzione:

Figura 7. Utilizzando la relazione del testo fra f-stop, f e D le tabelle dimostrano che le due sequenze di f-stop a sinistra e a destra presentano rapporti di luce entrante rispettivamente pari a (circa) 2 e a 1.3
Moltissimo altro ci sarebbe da scrivere parlando del confronto fra occhio e macchina fotografica, ad esempio per investigare come si correggono i malfunzionamenti ottici di entrambi e come entra in gioco il tempo in cui il sensore viene lasciato in balia della luce. Ma ciò richiederebbe un ben più ampio spazio, sicché qui ci fermiamo.
Marco Sartore
[1] Fisica, J. Walker, Vol 2 “Termologia onde relatività”, Ed. Zanichelli.






