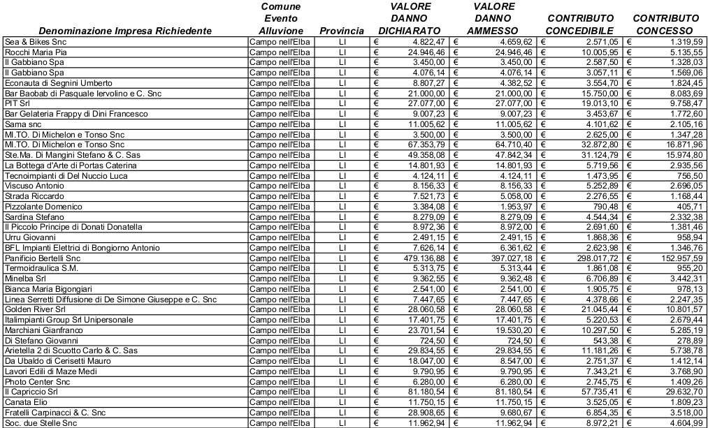
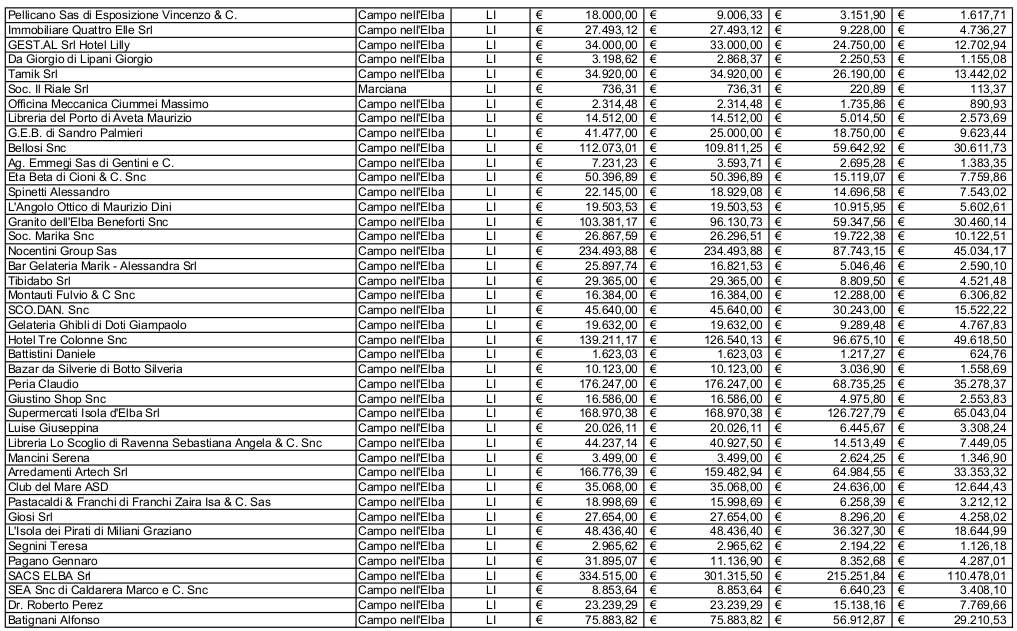
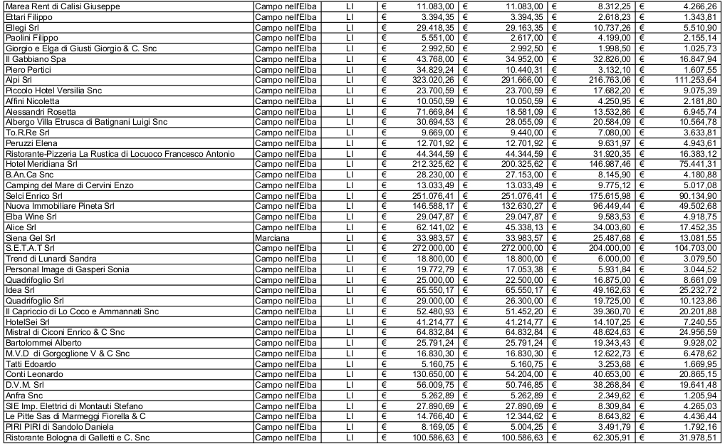
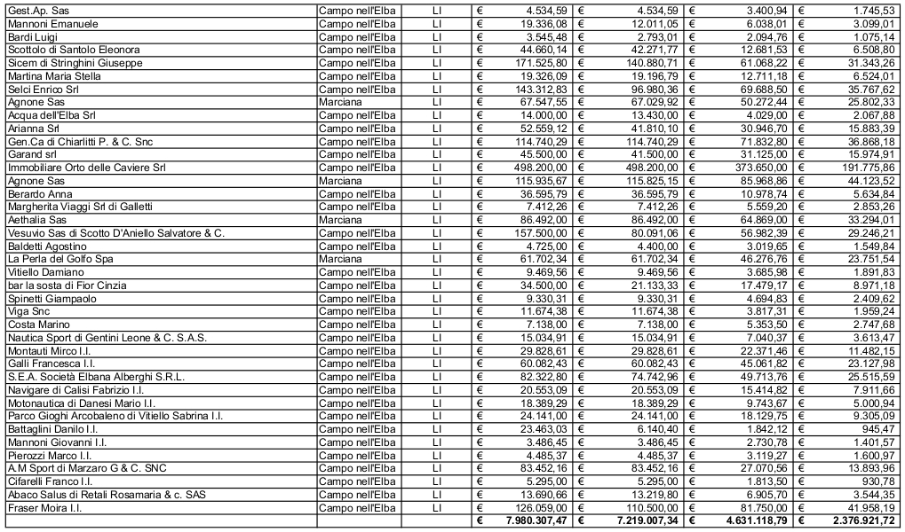
Di seguito gli elenchi delle aziende alluvionate ammesse e non ammesse al rimborso dei danni subiti il 7 Novembre 2011.
Al momento ancora non sono stati stabili i termini entro i quali i risarcimenti potranno essere effettivamente incassati dagli esercizi danneggiati







Gli elenchi delle attività commerciali alluvionate che otterranno o non otterranno i rimborsi





