Pillola di Scienza breve ma intensa questa volta: dopo aver discusso del numero 12, legato all’ultimo mese dell’anno, vediamo che curiosità ci propone il numero legato al nuovo anno.
Innanzi tutto si può affermare che il 2025 sia davvero speciale perché è un “quadrato perfetto”, infatti:

A meno che la durata della vita umana non aumenti nel prossimo futuro in maniera oggi imprevedibile, solo gli ultra-novantenni che nasceranno da questo nuovo anno in poi o i giovanissimi che avranno la fortuna di diventare centenari riusciranno a vedere il prossimo “anno quadrato perfetto”, infatti dovranno aspettare fino al:

D’altronde prima di noi solo chi oggi ha 89 anni (o più) ha vissuto il precedente “anno quadrato perfetto”, precisamente nel:

Inoltre il numero 2025 è il prodotto di due quadrati:

che si possono ulteriormente fattorizzare in numeri primi come:

Ma altre curiosità ci attendono… infatti molto stranamente il nuovo anno è legato ai primi nove numeri interi positivi in ben due modi.
Il primo: se l’anno fosse un cubo di volume 2025, sarebbe costruibile utilizzando tutti e soli i cubetti di lato da 1 a 9, come visibile in Figura 1:

Figura 1. Il cubo di volume 2025 è equivalente alla somma dei nove cubi di lato da 1 a 9.
Questo porta immediatamente alla pittoresca relazione:
![]()
che i matematici amano scrivere in forma compatta con il simbolo di sommatoria:

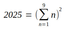
Il secondo: se l’anno fosse un quadrato, il suo lato sarebbe lungo quanto la somma dei primi nove numeri, come visibile in Figura 2:
Figura 2. Il quadrato di area 2025 ha lato dato dalla somma dei primi 9 numeri interi positivi.
Ciò significa che il 2025 si scrive anche così:

o ancora come piace ai matematici:

Infine una proprietà davvero particolare: il 2025 è un “numero ottagonale centrato”, cioè rappresenta esattamente la figura di un ottagono con punto al centro.
Il primo numero di questo tipo è quello banale, 1, che è il punto centrale. A seguire il 9, che compone una prima figura con 8 punti attorno a quello centrale. Poi il 25, che aggiunge attorno al precedente un ottagono puntinato più grosso ma ad esso simmetrico e così via:

Figura 3. Rappresentazione grafica puntiforme dei primi tre “numeri ottagonali centrati”.
La sequenza di questi numeri è legata alla seguente regola di costruzione, secondo cui l’n-esimo numero ottagonale centrato è pari a:
Si verifica così che 2025 è il 23° numero di questa sequenza, infatti:

Possiamo quindi vedere il 2025 come un ottagono simile a quelli di Figura 3 ma composto da ben 22 anelli di punti concentrici attorno al punto centrale, come per formare una colorata girandola a 8 petali simile a quella dell’immagine di copertina.
Che questa immagine di gioia e semplicità possa sostituire nel nuovo anno quelle terribili di guerra e sciagura che hanno raffigurato l’anno appena concluso!
Marco Sartore






